NeoVerse 4D World Model: Escaping the 4D Data Bottleneck

NeoVerse is a scalable 4D world model that reconstructs dynamic scenes directly from in-the-wild monocular videos. Using a pose-free, feed-forward design, it eliminates multi-view capture and heavy preprocessing while enabling fast, high-quality 4D reconstruction and video generation.

NeoVerse
NeoVerse

Imagine creating a high-fidelity, interactive 4D digital twin of a street scene or a moving robot using nothing more than ordinary phone video. No multi-camera rig. No LiDAR. No lab-grade capture setup.

For years, this vision was out of reach.

4D world modelling learning a scene’s 3D structure and how it changes over time has been trapped behind a brutal data bottleneck. Most systems require either synchronized multi-view video or heavy offline preprocessing using depth and pose estimators.

These constraints limit scale, slow experimentation, and prevent learning from the vast diversity of real-world videos found online.

This is the core problem addressed by NeoVerse, introduced by researchers from CASIA and CreateAI.

NeoVerse proposes a scalable alternative: a pose-free, feed-forward 4D world model trained directly on in-the-wild monocular videos, removing the need for curated multi-view data or expensive preprocessing pipelines.

What Is a 4D World Model?

A 4D world model represents a scene across space and time, typically written as:

(x,y,z,t)

Unlike static 3D reconstruction, a 4D model must account for:

Geometry: the spatial structure of the scene

Motion: how that structure changes over time

Temporal consistency: objects should move smoothly, not flicker or teleport

This capability underpins applications in robotics, embodied AI, AR/VR, and video generation. A robot navigating a room, for example, must understand not just where objects are, but how they move.

The challenge is that monocular videos provide no explicit depth or multi-view cues. Everything must be inferred from appearance and motion alone. 

Why Monocular, In-the-Wild Video Is So Difficult

Training from monocular video introduces three fundamental challenges:

1. No Multi-View Geometry

Single-camera video lacks explicit depth cues. Geometry and motion are inherently ambiguous without multiple viewpoints or known camera poses.

2. Real-World Noise

Internet video contains motion blur, occlusion, rolling shutter, lighting changes, and camera shake effects rarely seen in lab datasets.

3. Training Scalability

Many prior approaches depend on offline depth or pose estimation, which:

  • Takes hours per video
  • Prevents online augmentation
  • Becomes prohibitively expensive at scale

NeoVerse is designed specifically to remove all three constraints.

How NeoVerse is Different From other models

OverView of NeoVerse

OverView of NeoVerse

NeoVerse introduces a scalable 4D world modeling framework that learns from in-the-wild monocular videos, using a pose-free feed-forward reconstruction model integrated directly into training.

  1. No multi-view data required
  2. No known camera poses required
  3. Fully online training pipeline
  4. Unified reconstruction + generation framework
  5. Scales to very large monocular video collections

Architecture Overview

Architecture of NeoVerse

Architecture of NeoVerse

Image from official paper link

NeoVerse follows a two-stage reconstruction-generation architecture designed for scalable 4D world modeling from monocular videos. The system operates entirely in a pose-free, feed-forward manner, avoiding per-scene optimization and heavy offline preprocessing. A dynamic 4D scene representation is first reconstructed from sparse video frames and then used to guide high-quality video generation.

Part I: Pose-Free Feed-Forward 4D Reconstruction

The reconstruction module is built on the Visual Geometry Grounded Transformer (VGGT) backbone. Given a monocular video, frame-wise features are extracted using a pretrained DINOv2 encoder. These features are concatenated with camera and register tokens and processed through Alternating-Attention blocks to aggregate spatial and temporal context in a single forward pass.

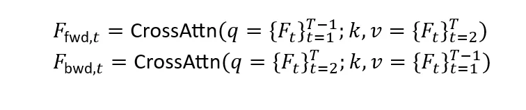
Bidirectional Motion Encoding

A key innovation of NeoVerse is its bidirectional motion modeling, which explicitly captures how scene elements move forward and backward in time. Frame features are sliced along the temporal dimension and processed using cross-attention to extract directional motion cues:

These features are used to predict forward and backward linear and angular velocities, enabling stable temporal interpolation and sparse-frame supervision.

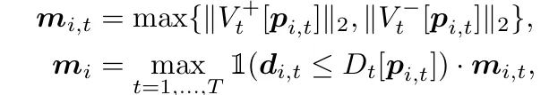
4D Gaussian Scene Representation

Each 4D Gaussian primitive is parameterized as:

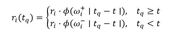
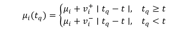
Here, μi denotes the 3D position (via depth back-projection), αi the opacity, ri the rotation, si the scale, shi the spherical harmonics for appearance, and τi the life span. The dynamic parameters vi+, vi and ωi+, ωi represent bidirectional linear and angular velocities.

Sparse Keyframes and Temporal Interpolation

To improve efficiency, NeoVerse reconstructs scenes using sparse keyframes (typically 11–21 frames). For a query time tq near a keyframe at time t, the Gaussian parameters are interpolated as:

Position

Rotation

Opacity

where φ(·) converts axis–angle motion to quaternions and γ controls decay based on lifespan. This prevents abrupt object appearance or disappearance.

Part II: Reconstruction-Guided Video Generation

The second stage uses a Video Diffusion Transformer (based on Wan-T2V 14B) to generate high-quality videos conditioned on 4DGS renderings. Since monocular videos lack ground-truth 3D supervision, NeoVerse introduces Monocular Degradation Simulation to create realistic training pairs.

Two degradation strategies are used: visibility-based Gaussian culling, which simulates occlusions from new viewpoints, and an average geometry filter, which recreates flying-edge artifacts by smoothing rendered depth maps. These degraded RGB, depth, and mask renderings serve as conditioning inputs.

The generator fθ is trained with a Rectified Flow diffusion objective:

where xt interpolates between clean video latent x1 and noise x0, and c"render" contains the degraded renderings.

Optimization and Global Motion Tracking

Reconstruction is trained with a multi-task loss:

During inference, Global Motion Tracking separates static and dynamic Gaussians using a visibility-weighted velocity measure:

This improves temporal aggregation and stabilizes long-range motion.

Results and Performance of NeoVerse 

Video Source

NeoVerse shows state-of-the-art performance in both 4D reconstruction and novel view video generation. The results highlight strong gains in visual quality, scalability, and inference speed, even without using ground-truth camera poses.

For reconstruction, NeoVerse outperforms existing methods on both static and dynamic benchmarks. On VRNeRF , it achieves a PSNR of 20.73, compared to 18.02 for AnySplat and 11.27 for NoPoSplat. On ScanNet++ , it reaches 25.34 PSNR, leading in accuracy and perceptual quality. On dynamic scenes, NeoVerse scores 32.56 PSNR on the ADT dataset, surpassing 4DGT at 30.09, despite 4DGT using ground-truth poses. It also leads on DyCheck with 11.56 PSNR and better SSIM and LPIPS scores.

For novel view generation, NeoVerse is evaluated on 400 unseen in-the-wild videos using VBench. The full-frames model achieves the highest subject consistency (89.42) and image quality (61.51). Unlike pure generation models such as ReCamMaster, NeoVerse maintains accurate camera trajectory control and suppresses ghosting artifacts seen in hybrid systems like TrajectoryCrafter.

NeoVerse is also significantly faster at inference. On an A800 GPU, it generates an 81-frame video in about 20 seconds using keyframes and 28 seconds using full frames. Competing methods require over 150 seconds. Ablation studies confirm that monocular degradation simulation and bidirectional motion modeling are critical for visual quality, temporal smoothness, and stable pose prediction.

Limitations

Limitations

Limitations

Requirement for 3D Geometry
NeoVerse relies on extracting 3D cues from input videos. It does not generalize well to content without inherent 3D structure, such as 2D cartoons.

Text Rendering Issues
The model can struggle to generate clear and correct text. This limitation is common in current video generation systems.

Dataset Scaling Constraints
The training dataset contains about one million video clips, which the authors note is still limited. Further scaling is constrained by available compute.

Sensitivity to Observation Coverage
Regions fully unobserved in the input may appear as black areas. The model does not always hallucinate missing content.

Sensitivity to Input Depth Quality
Training requires consistent visual depth cues. Datasets with unstable depth signals were avoided during development.

Linear Motion Assumption
Temporal interpolation assumes linear motion between keyframes. This may fail for highly non-linear or erratic movements.

Conclusion

NeoVerse breaks the scalability barrier in 4D world modeling by learning from one million in-the-wild monocular videos. Its pose-free, feed-forward design removes the need for multi-view rigs or offline preprocessing. The system generates an 81-frame video in ~20 seconds, nearly 8× faster than hybrid methods like TrajectoryCrafter.

The model works well on real 3D videos where geometric cues exist, but it does not generalize to 2D cartoons that lack depth. It can hallucinate missing regions when partial context is available, but fully unseen areas may remain empty. Errors in text rendering arise from limitations common to current video generation models.

Overall, NeoVerse combines speed, trajectory control, and spatiotemporal consistency in a single framework. It supports applications such as video editing, super-resolution, and 3D tracking. Most importantly, it proves that large-scale internet video can power practical and scalable 4D world models.

FAQs

What problem does NeoVerse solve in 4D world modeling?

NeoVerse removes the need for multi-camera rigs and heavy offline preprocessing by learning 4D scene structure and motion directly from in-the-wild monocular videos.

Why is pose-free reconstruction important in NeoVerse?

Pose-free reconstruction eliminates dependence on ground-truth camera poses, enabling scalable training on real-world internet videos where camera parameters are unavailable.

What makes NeoVerse faster than existing 4D reconstruction methods?

NeoVerse uses sparse keyframes, feed-forward reconstruction, and avoids per-scene optimization, reducing inference time from minutes to seconds.

Blue Decoration Semi-Circle
Free
Data Annotation Workflow Plan

Simplify Your Data Annotation Workflow With Proven Strategies

Free data annotation guide book cover
Download the Free Guide
Blue Decoration Semi-Circle